مقاله آموزشی با عنوان مشتق تابع لگاریتمی و تابع نمایی از جناب آقای مهدوی، دبیر ریاضیات و معارف دهه ۶۰ و ۷۰ دبیرستان (تا سال ۱۳۸۲)، دریافت کردیم. این مقاله ارزشمند که ما را به روزهای خوب مدرسه برد، در ادامه منتشر شده:
بسمه تعالی
با تبریک سال جدید که با نام حضرت زهرای مرضیه سلام الله علیها زینت یافته به ملّت سرافراز ایران به ویژه شیعیان و دوستداران آن بانوی بزرگ اسلام، خواهان خیر و برکت برای همگان و در رأس همه خواستهها ظهور منجی عالم بشریّت در این سال میباشیم. امّا بعد! هدف از تهیه این نوشتار طرح یکی از مباحث ریاضی است که ذیلاً به رشته تحریر درمیآید:
یکی از جالبترین و زیباترین مباحث ریاضی که کاربرد فراوانی در شاخههای مختلف ریاضی دارد، مشتق تابع لگاریتمی و تابع نمایی است. فرض میکنیم:
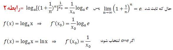
اینجاست که عدد اصم e در ریاضیات ظاهر میشود و نقش خود را در مباحث مختلف ایفا میکند. زیرا بسط جمله یک بعلاوه یک nام به توان n به یک سری همگرا تبدیل میشود که حد آن همان عدد مشهور e میباشد:
این رابطه را رابطه۳ مینامیم. در تمام کسرهای فوق از بسط دو جملهای نیوتون استفاده شده، زیرا صورت و مخرج در تمام کسرها دارای درجات مساویست، بنابراین:
مجموع چهار جمله اول برابر ۲٫۶۶۶… میباشد. حال این سری را با سری هندسی از جمله یک تقسیم بر ۴فاکتوریل مقایسه میکنیم:
رابطه فوق با استقرای ریاضی به آسانی اثبات میشود. در رابطه۴، چون طرف راست نامسائی هندسی با قدر نسبت یک دوم است، همگراست. بنابراین سمت چپ نامساوری هم که کوچکتر از آن است و نیز حدّ یک تقسیم بر kفاکتوریل وقتی K به سمت بی نهایت میل کند، نیز همگراست که حدّ آن را اگر با ۲٫۶۶۶ (مجموع چهار جمله اول بسط اصلی) اضافه کنیم، عدد e به دست میآید.
تدکر: این مقادیر با ماشین حساب محاسبه شده است. به طور شهودی نشان میدهد سریای که از بسط یک بعلاوه یک nام به توان n حاصل میشود، یک سری همگراست؛ زیرا تغییرات n از یک میلیون به یک میلیارد و در نهایت با مقایسه با عدد e بسیار اندک است. البته ثابت میکنند که وارون عدد e هم اصم است.
نکته دیگر بسط رابطه (یک بعلاوه xتقسیم برn)به توان n است:
توضیح اینکه وقتی n به سمت بی نهایت میل کند، nتقسیم برx نیز به سمت بی نهایت میل میکند و رابطه۵ برقرار است. رابطه۶ را میتوان از بسط تیلور و ماک لورن بدست آورد، امّا از آنجا که مستلزم داشتن مشتقات e به توانx در مراتب مختلف است، رابطه فوق بدون استفاده از بسطهای مذکور بدست آمده است.
مشتق تابع نمایی:
لگاریتم اعداد منفی و مختلط (در مجموعه اعداد مختلط):
از روابط فوق این نتیجه حاصل میشود که در مجموعه اعداد مختلط یک عدد میتواند بینهایت لگاریتم داشته باشد. مانند لگاریتم اعداد دیگر:
ln(-2)=ln(-1*2)=ln(-1)+ln(2)=(2k+1)pi+ln(2)
